首页
学院概况
院长寄语
学院简介
管理团队
组织机构
历史传承
领导关怀
师资力量
在职教师
荣休教师
人才培养
本科教育
研究生教育
科学研究
科研机构
科研成果
学术期刊
学术讲座
神农书系
精选文章
党团工作
理论学习
教师支部
学生党建
团学工作
信息反馈
校友风采
毕业去向
校友动态
杰出校友
招贤纳士
招聘信息
EN
学院首页
首页
>
学院首页
>
乐竞体育平台官方网站
>
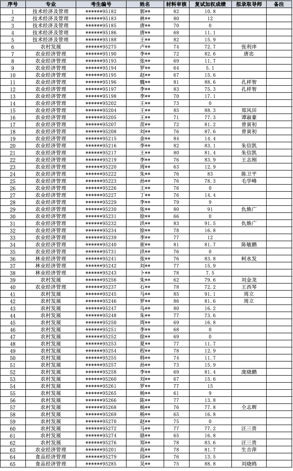
乐竞体育平台官方网站2020年博士生复试成绩表
2020-07-03
上一篇:农业与农村发展学院2020年“全国优秀大学生夏令营”营员招募通知(一)
下一篇:农业与农村发展学院“2020年学生科研训练计划项目” 申报通知
首页
学院概况
院长寄语
学院简介
管理团队
组织机构
历史传承
领导关怀
师资力量
在职教师
荣休教师
人才培养
本科教育
研究生教育
科学研究
科研机构
科研成果
学术期刊
学术讲座
神农书系
精选文章
党团工作
理论学习
教师支部
学生党建
团学工作
信息反馈
校友风采
毕业去向
校友动态
杰出校友
招贤纳士
招聘信息
世界杯体育官方网站-综合赛事平台
|
乐竞体育·(中国)官方网站
|
乐竞官方版网站登录入口-乐竞(中国)
|
K体育·(sports)官方网站
|
乐竞在线注册-乐竞(中国)
|
世界杯体彩-世界杯(中国)
|
龙8-long8(头号玩家)国际唯一官方网站
|
世界杯平台-世界杯(中国)
|
龙8在线登录官网-龙8(中国)
|